The Four Modal Analysis Approaches you need to know.
The following information provides a greater understanding of the four major research approaches for load-testing buildings. Modal Analysis techniques have contributed to understanding building response and structural performance for decades. They were used to develop building codes across the United States. Conducted by PhD’s in structural dynamics in the US, Europe, Asia and elsewhere, these forms of dynamic analysis consist of four basic methods to collect data from structures for modal analysis.
From August 30-Sept 1, 2023, EVACES held its 10th bi-annual conference (2023.polimi.it/conference-program) in Milan, Italy. This conference focused on the use of Operational Modal Analysis applying ‘white noise’ methods (#4 above). In attendance were 200+ PhD’s from 39 countries who submitted 182 papers on this topic. The goal of this group is to advance this promising technology so it can be used to assess and monitor Civil Structures. Several comments were made by the Keynote Speakers:
– These methods are mature and can be applied in industry.
– These methods can be used to quantify damage.
– These methods are efficient and can occur quickly.
The methods used for modal analysis in all forms are consistent and represent the only valid way to perform a load test the response of a structure. Applying ‘white noise’ methods provides the most efficient and most accurate results. It also provides a unique signature of the structure which can be used for future comparison. STRAAM provides additional insight at the bottom of this narrative as it relates to our services which include a one-day In-situ Load Test.
Some significant points to consider are:
Due to recent building collapses, legal action has been taken against engineers, owners and building officials for negligence. If found liable, negligent parties face devastating consequences.

There have been decades of research in the building sciences across the world to quantify how structures behave and perform to wind and seismic events. The greatest advancements came from research where full-scale structures were tested. In the PhD thesis provided to the right, Chapter 2 provides some of the notable authors and institutions who performed significant research prior to 1994, when the Thesis was published. It’s important to understand the effort that went into this body of knowledge which greatly advanced the building sciences, and ultimately helped Code committees make decisions based on strong engineering principles to improve the design process and make building safer over time.
Buildings, bridges, and other structures were measured for their response to both induced forces (EMA), and from natural forces from wind and earthquake (I-OMA). The induced vibration tests provided the most controlled conditions to show how structures responded to forces. The methodology used across this research applied the principles of structural dynamics to explain why structures responded in the manner they did. It provided a good road map into how to measure the response of certain structures.
The fundamental aspects of structural dynamics and physics, based on Newton’s Second Law of Motion, Force = Mass x Acceleration on which structural dynamics is based, require measuring the modal properties of the structures. The process includes:
1. Identifying the various modes of vibration to be tested.
2. Applying force to the structure and measuring the response of the structure.
3. Determining the frequency response and damping response inherent in the structural system.
4. Determining how the structure moves in the various modes of vibration at different locations, known as mode shapes.
5. Determining the displacement per unit force relationship of the structure that represents the capacity of the structure.
These fundamental principles are basic to the studies referenced and are among the most important characteristics that dictate how structures perform. Although it is time-consuming, often impractical and expensive, these two methods (EMA and I-OMA) were originally used to analyze the response of a structure to forces for several decades.

In the PhD Thesis, the author referenced the Galambos and Mayes paper written in 1978 where the National Science Foundation commissioned a study to perform a forced vibration test on an existing structure. The goal of the study was to apply forces well beyond the elastic limit of the structure to initiate damage and measure the changes in the structure’s dynamic characteristic and response profile. This test cost approximately $400,000 to perform in 1978. The building was scheduled to be demolished, so after the tests were completed, the structure was considered destroyed and was torn down. This sort of testing could never be used for an existing building. This study provides a wealth of insightful information as well as verification of some fundamental principles:
In the PhD Thesis, the Author identified a significant body of work conducted in the United Kingdom by the Building Research Establishment. This body of work included forced vibration tests on 40 full scale structures. This is the largest program of forced vibration tests of full-scale structures ever conducted in the world. Further, it employed the most advanced forced vibrator system to allow for the most controlled test of the structures ever conducted both before and after the program, extending to this day. It is largely considered the ‘gold standard’ for forced vibration tests. The cost for each test is estimated to be $ 200,000 per structure and took several weeks to complete with a full team of scientists.

The forces applied were well below the end of the elastic limit of the structure, with the structures remaining in service after the tests. Members of the team were awarded the Telford Gold Metal for the induced vibration tests on dams of the four main categories the highest award in the world for Civil Engineers, due to the impactful nature of the testing and the applicability of the results to building science (References for the work on dams are not included here). This sort of testing of full-scale structures is possible to conduct on existing buildings but it is complex to organize, time consuming, very expensive, is mildly destructive to the building and is generally not used in industry.
One Report of the South Stoneham Building in Southern England, is provided to the right and is consistent with many of the other tests conducted. The tests reveal several critical aspects which are now referenced in ASCE 7.

An additional paper published by BRE in 1980 authored by Brian Ellis was titled ‘An assessment of the accuracy of predicting the fundamental natural frequency of buildings and the implications concerning the dynamic analysis of structures’. (Proc. ICE, part 2, Sept 1980, vol. 69, pages 763-776) This study reviewed the measured response of 163 buildings that had been measured for their dynamic characteristics. The structures in the study were from the US, UK and Canada as well as various locations around the world, and included buildings of various construction types with building heights ranging from of 10 to 200 meters. As referenced in the conclusion, the study identified significant variations in the natural frequencies of buildings noting +/-50% from standard predictors. This is very significant since that actual response of a structure to forces varies directly based on its stiffness which is proportional to the natural frequency. Therefore, the actual response will correlate with this parameter. Caution was raised for the use of dynamic modeling which uses incorrect estimates for this parameter, noting the implications could result in significantly underestimating the response. Non-linear behavior of both frequency and damping is noted. Additionally, reduction in the natural frequency after a seismic event was noticed attributing the change to damage of the structure. The study concluded that the best fit estimate for the Fundamental Natural Frequency of a building to be 46/H (height in meters). This value equates to 150/ H (in feet). This is the only estimate offered as an estimate of the natural Fundamental Frequency for existing buildings in ASCE 7. The study also provided estimates for the orthogonal mode and torsion.

Further, the work by the BRE contributed to the general body of knowledge regarding structural response, most critically regarding the parameter of non-linear damping. As referenced above, ‘damping’ as an element of response had displayed a high level of unpredictability and variability, specifically as it related to response measurements taken during seismic event. This created an misunderstanding of the parameter, which led to the belief in the seismic community that ‘damping cannot be measured accurately’. The BRE, through the controlled forced vibration testing showed the non-linear nature of ‘structural damping’, as well as it’s predictability. This information was shared with many researchers in several countries where additional research was being conducted. Below in ‘Dynamic Response of Structures’ is a reference of the largest program of conducting dynamic response measurements where this understanding was applied. Numerous research groups from different countries followed up on the work of the BRE with additional testing and produced additional predictors for non-linear structural damping. Seymore Spence and Ahsan Kareem of Notre Dame University produced an ASCE Croes Award Winning Paper in 2013 titled ‘Tall Buildings and Damping: A Concept-Based Data-Driven Model’. In it, the authors summarize the long historical research that was conducted and identifies the mechanism for non-linear structural damping. It identifies the three major damping predictors, all of which are based on a specific population of structures from different regions in the world, which likely contributes to the variation. Yet, they are all generally similar. This paper is referenced in ASCE 7.

The US Bureau of Mines published RI 8507 in 1980. The title was ‘Structure Response and Damage Produce by Ground Vibrations from Surface Mine Blasting’. This was intended to provide insight into the structural response and associated mechanisms of damage caused by blasting for coal. In the study, they performed dynamic measurements of 79 one and two story houses. They measured the first mode of vibration’s frequency and damping response to blasting consistent with standard dynamic analysis practice. From this they determined an estimate of displacement which was later used to suggest safe levels of structural response.

The OSMRE, Office of Surface Mining Reclamation and Enforcement, conducted an additional study titled ‘Assessment of Low Frequency Vibrations and Potential Impacts on Structures’ in 1996 looking at the effects of dynamic amplification of ground vibrations caused by the alignment of ground vibrations with the structure’s natural frequency. This was an important complement to RI 8507 to verify the potential risk from dynamic amplification. In both documents, the response measurements were not very accurate which is mostly a by-product of the short duration of the blasting and the randomness of the energy produced by the blast and modal coupling from the structure. Appendix B of RI 8507 provides a simplistic method for determining the peak particle velocity caused by ground vibrations. Appendix B provides threshold limits for ground vibrations that are used today, and often applied well outside the scope of the study. The study cautions about the additional risks and possible causes of damage by using the simplistic ground vibration method. RI 8507 encourages the use of ‘spectral techniques’ which they identify as superior to the Appendix B criteria, yet they recognize that at the time of the study in 1980, technology was not sophisticated (compared with today’s equipment) and performing spectral methods would be cumbersome, expensive and difficult to regulate. Nevertheless, the Appendix B criteria are still used widely as the criteria for establishing vibration intensity alarms today. The spectral methods they reference allow for greater understanding of the actual structural response which reduces risk of damage by quantifying the most critical risk factors identified in their study.
Research has been limited for forced vibration tests on full scale structures because of the limited supply of funding. Researchers have resorted to the use of naturally occurring vibration sources applying Operational Modal Analysis or to using smaller (and cheaper) vibrators for assessing footbridges and floors. The implication of assessing smaller structures and floor systems is that the size of the vibrator is reduced because the natural frequency being investigated is higher.
Despite these factors only a small number of induced vibration tests using vibrators have been conducted since the 1990’s, and none of these have included the testing of entire large structures. However, the induced vibration response (caused by well-controlled vibrators) of smaller structures has been conducted in Japan (by Yukio Tamura) and in Turkey (Serdar Soyoz et al). However, to date, there has been no repetition of the tests conducted.
An increasing focus has been made in the research community and now within the industry in applying Operational Modal Analytical techniques since it offers a very efficient method of gaining information about a structure. OMA with ‘white noise’ excitation has proven to provide the best, and most repeatable approach to measure dynamic characteristics and their changes.
Over the last 30 years, there has been a body of work that has dwarfed all other databases regarding the behavior of full-scale structures. This was produced by Ahsan Kareem (University of Notre Dame, USA) and Yukio Tamura (Tokyo Polytechnique University, Japan) and the Center for Excellence of Wind Engineering. The www.vortex-winds.org website provide public access to the database of approximately 1000 structures measured for their Dynamic Characteristics of modal frequency of resonance and damping. The ASCE 7 references this database.
STRAAM Group has developed a platform for performing dynamic assessments consistent with the well-established practices used in the research over the last 50 year without the necessity of using a large, expensive vibrator system. We apply the mature principles of Operation Modal Analysis using white noise as the energy source. This allows us the ability to capture all the data and apply the best and most appropriate techniques in our analysis. A critical aspect of the analysis, is viewing the data including the non-linearities. We know that all structures behave non-linearly, so to ignore this behavior severely limits the value of the Modal Analysis. This advanced skill set makes us unique in the industry. As shown above, when testing a structure’s response the following aspects are fundamental to gaining accurate information that define the dynamic parameters of the structure:
Also shown, in the 50 years of research referenced above, the dynamic parameters of a structure directly dictate how it will respond to forces. The papers above provide insight into ranges of these parameters which give good estimates of how well-performing structures behave. They also show that some buildings that have weaknesses, reflected in changes to these parameters. Reduction in stiffness, which is directly proportional to the frequency response, is associated with damage or ageing. Likewise, increases in damping are also associated with damage.
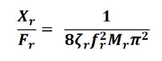
The research laid the foundation to understand, through empirical evidence, how structures response to imposed forces. It was the BRE who meticulously detailed the non-linear response of both frequency and damping. And further, that Newton’s Second Law of Motion, which is the fundamental principal in structural dynamics, apply perfectly consistently throughout the entire amplitude range. In the equation below, in a specific mode of vibration, the Displacement Xr is dictated by the imposed Force, Fr, divided by constants (for an existing structure Modal Mass Mr, generally is constant) and the only two dynamic parameters for which measurements are necessary, are resonance frequency and its associated damping.

Therefore, the displacement per unit force relationship, as expressed below, represents how a structure will deform to loading as predicated by the dynamic parameters. A more common Load Test will generally apply a known load to determine the specific response, yielding a single displacement per unit for relationship. In the case of a building, the research has shown that the displacement will change over a range of amplitudes, so the dynamic parameters, when measured accurately provide more insight into the behavior of the specific structure based on its specific non-linear behavior of the dynamic parameters. The result is a representative Load Test of the structures capacity.

Dr. Jeary, one of the Founders of STRAAM, was the Head of the Dynamics Group within the BRE where this groundbreaking research occurred. He oversaw all of the forced vibration tests conducted there, as well as other research for nearly two decades. This insight and experience is embedded into the STRAAM platform for Dynamic Analysis.
Furthermore, the research also demonstrated that at high amplitude, for instant during forces caused by strong wind or seismic forces, the dynamic parameters reflect less consistency caused by a number of factors, including that the structural response is non-linear and therefore affects the measurement of parameters that are considered as linear at the design stage. Therefore the dynamic parameters reflected a level of unpredictability and variability that did not occur under the controlled conditions. Much of the research community reported on this phenomenon leading to speculation that the dynamic parameters could not be measured accurately, contrary to the research proving otherwise.

As technology advanced over the last two decades, sensor technology improved with greater sensitivity. Also computer technology improved with greater processing power to manage large sums of data quickly. Further, data transmission through cellular and internet service allowed for immediate data transfer, so that the response of a structure could be processed in real time. Since the dynamic parameters can be accurately measured through a range of amplitudes with predictable non-linear behavior, then the lower end of the amplitude range would supply equally meaningful information. Based on advanced technology, the response of a structure can be measured under normal ambient conditions. To the right is a paper generated by STRAAM to explain the value of low amplitude measurements compared with high amplitude measurements.
Applying the appropriate methods under ambient conditions, has proved to provide the opportunity to measure the dynamic parameters as follows:
This technology that is used to measure the dynamic response of structures provides a powerful tool that helps quantify the most critical aspects relating to its capacity. Based on the new Structural Integrity Laws, verifying the structural condition of a building is required. A visual inspection does not give any insight into how well the structural system works. 50 years of research supports that the method for measuring a structure is defined, and includes an accurate measure of the dynamic parameters. This is a reasonable approach to meet this new standard of care and to improve public safety.
As presented, the decades of research are consistent in its approach and conclusions. Non-linear behavior is inherent in all buildings. The dynamic parameters can be measured both through mechanical excitation and using ambient forces. These parameters dictate a structure’s response. Taking measurements on any structure can occur quickly yielding accurate and repeatable results when applying OMA with ‘white noise’ excitation. Additionally, the equipment needed to collect the data and achieve this analysis, can be used for high amplitude analysis, which applies some different types of analysis to determine displacement and other behavioral parameters. In-situ Load Tests where the dynamic characteristics are captured accurately, provide valuable insight regarding the capacity of a structure, and can be used to track it’s damaged state over time. Based on recent changes in law, these methods provide a necessary complement to visual inspections which will reduce liability and add clarity regarding the risk of buildings.
1. US Dept. of Commerce. Sari Fernando, California, Earthquake of February 9, 1971. Washington D C. 1973.
2. Cano J H., Guatemala Earthquake of February 4, 1976. Proceedings of 6th World Conference on Earthquake Engineering. New Delhi 1977.
3. Marshall R D. Engineering aspects of Cyclone Tracy, Darwin, Australia 1974. National Bureau of Standards report NBS – BSS – 86. Washington DC.
4. Buller P S J. Wind damage to buildings in the United Kingdom 1970-1976. BRE CP 42/78.
5. Schmitt F E. The Florida hurricane and some of its effects. Engineering News Record, 97, p. 586-591 & 624-627. 1926.
6. McDonald J R. Structural response of a twenty storey building to the Lubbock tornado. Texas University Storm Research Report No. 01, Lubbock, Texas, Oct. 1970.
9. Foutch D A. The vibrational characteristics of a twelve storey steel frame building. Earthquake Engineering and Structural Dynamics. V6, p. 265-294. 1978.
10. Ornori F. Note on applied seismology. Bereich der I. Intern Seismologischen Konferenz, 335, 1901.
11. U.S. Coast & Geodetic Survey. Earthquake investigations in California 1934-1935. Special Publication No. 201, 1936. 142
12. Taniguchi T. General principles of aseismic construction. Iwanami Shoten, 61. Tokyo, 1934.
13. Naito T & Nosu N. Vibration tests of actual buildings, No. 16. Memor. School of Science and Engineering, Japan, 1952.
14. Smeaton J. An experimental enquiry concerning the natural powers of the wind to turn mills and other machines depending on circular motion. Proc. of the Royal Society II 365. 1959.
16. Suyehiro K. The theory of vibration of structures and a method of measuring it. (In Japanese) 1926.
17. Coyle D C. Measuring the behaviour of tall buildings. Engineering News Record. Feb. 19, 1931.
18. Hisada T. & Nakagawa K. An analysis of vibration of masonry buildings. Reports of Building Research Institute of Japan. Building Construction, El, 1952.
19. Hisada T. & Nakagawa K. Vibration tests on various types of building structures up to failure. Proc. 1st. WCEE, Berkeley, California, 1956.
20. Kawasumi H & Kanai K. Vibration of buildings in Japan. Proc. 1st. WCEE, Berkeley, 1956.
21. Takeuchi M. Vibrational characteristics of buildings – Part I Vibrational characteristics of actual buildings determined by vibration tests. Proc. 2nd. WCEE, Tokyo, 1960.
22. Funahashi I & Kinoshite K. The vibrational analysis of the tower building. 3WCEE, Auckland, N.Z. 1965.
23. Hudson D E. Resonance testing of full-scale structures. Jnl. of Engineering Mechanics Division, AScE, V90, No. EM3, Paper 3923, June 1964. 143
25. Englekirk R E & Matthiesen R B. Forced vibration of an eight storey reinforced concrete building. Bulletin of the Seismological Soc. of America V57, No. 3, p 421-436, June 1967.
26. Wiss J F & Nielsen N N. Full-scale testing of New York’s World’s Fair structures – The Chimes Tower. Building Research advisory board. Washington D.C. May 1968.
27. Jennings P C & Kuroiwa J H. Vibration and soil-structure interaction of a nine storey reinforced concrete building. Bulletin of the Seismological Society of America V58, No. 3, p. 891-916, June 1968.
28. Jennings P C., Matthiesen R B & Hoerner .3. Forced vibration test of a twenty-two storey steel frame building. EERL 71-01, 1971 (and Jnl. Earthquake Eng. and structural dynamics VI, p. 107-132, 1972).
29. Stephen R H., Hollings J P & Bouwkamp J C. Dynamic behaviour of a multi-storey pyramid-shaped building. EERC 73-17, 1973.
30. Petrovski J., Jurukowski D & Percinkow S. Forced vibration test of a nine storey building in Sarajewo, constructed by the system ‘Uranica’. Report DTL 75-4, 1ZIIS, Univ. of Skopje, Yugoslavia, May 1975.
31. Stephen R M., Hollings J P., Bouwkamp J C & Jurukowski D. Dynamic properties of an eleven storey masonry building. EERL 75-20, July 1975.
32. Petrovski et al. Dynamic behaviour of a multi-storey triangular shaped building. EERL 76-03, 1976.
33. Foutch D A. The vibrational characteristics of a twelve-storey steel frame building. Earthquake Engineering and Structural Dynamics. V6, 265-294, 1978. 144
34. Burrough H L., Kinloch H & Winney P E. Vibration studies on full-scale structures. SECED Conf. on dynamic waves in civil engineering. U.C. Swansea, July 1970.
35. Sesan A, Diaconu D., Giongradi I., Vasilescu D., Graper H & Rotaru I. Experimental determinations of the dynamic characteristics of some actual buildings. The conference on earthquake analysis of structures, lassy, 1-4 Sept. 1970.
36. Reay A N & Shepherd R. Steady-state vibration tests of a six storey reinforced concrete building. Bulletin of New Zealand Soc. for Earthquake Engineering V4, p. 94-107, March 1974.
37. Stephenson W R & Skinner R J. A system for measuring normal modes of structures. Proc. 5th. WCEE, Rome, 1973.
38. Ashkinadze G A., Zacharow W & Sinon J. Investigation nonlinear behaviour of carcassless buildings with powerful vibration generators. 5th. European Conference on Earthquake Engineering. Istanbul 1975.
40. Jeary A P., Severn R T., Ellis B R & Dungar R. Prototype dynamic studies on a rockf ill dam and on a buttress darn. ICOLD Conference, New Delhi, 1979.
41. Galambos T V & Mayes R C. Lessons from dynamic tests of an eleven storey building. Engineering Structures. VI, Oct. 1979.
42. Yang T Y., Kayser K W & Shiam L C. Theoretical and experimental studies of earthquake response of a chimney. 6WCEE, New Delhi, 1977.
43. Pirner H. The verification of dynamic response of tall buildings under wind loads. Proc. 10th regional conference on tall buildings, Bratislava, April 1977.
44. Cherry S & Brady A G. Determination of structural dynamic properties by statistical analysis of random vibrations. 3rd. WCEE, 1965. 145
45. Crawford R & Ward H S. Determination of the natural periods of buildings. Bulletin of the Seismological Society of America. V54, No. 6, Dec. 1964.
46. Jeary A P & Winney P E., Determination of structural damping of a large multi-flue chimney from response to wind. Proceedings Inst. of CivilEngineers Tech. No. 65, Dec. 1972.
48. Tanigouchi T. General principles of aseismic construction. Iwanami. Shoten, 61, Tokyo, 1934.
50. Karopetian B K. A study of vibrations of structures in nature. 3rd. WCEE. 1965.
51. Ohta T., Machi N., Uchiyama S., Niva M & Takahashi K. Results of vibration tests on tall buildings and their earthquake response. 6th. WCEE, New Delhi, 1977.
52. Ellis B R. An assessment of the accuracy of predicting the fundamental natural frequencies of buildings and the implications concerning dynamic analysis of structures. Proc. Inst. Civil Engineers, V 69, p. 763 -776, Sept. 1980.
53. Housner G W & Brady A G. Natural periods of vibration of buildings. ASCE, Engineering Mech. Division EM4, Aug. 1963.
54. Hisada T & Nakagawa K. Vibration tests on various types of building structures up to failure. Proc. 1st. WCEE, Berkeley, 1956.
55. Nielsen N N. Vibration tests of a nine storey steel frame building. Jul. of the Engineering Mechanics Div. ASCE, V92, p. 31-40 February 1966. 146
56. Udwadia F E & Trifunac M D. Time and amplitude dependent response of structures. Earthquake Engineering and structural dynamics V2, p. 359-378. 1974.
57. Petrovski J. Dynamic parameters of structures derived from full-scale forced vibration tests (in Macadonian). Referat WhO. Savez Jagoslovenskih laboratori za ispitivanje i istasivanje materjala i konstrukija 1974.
58. Petrovski J., Jurukorski D & Paskalov T. Dynamic properties of fourteen storey R C frame building from full-scale forced vibration study formulation of mathematical model. Proc. 5th WCEE, Rome, 1973.
59. Chen C K., Czarnecki R M & Scholl R E. Vibration tests of a four storey concrete structure. 6WCEE, New Delhi, 1977.
60. Watanabe S.., Kida Y & Higuchi M. The vibrational analysis of a steel structure. The vibrational test of Ohbayashi-gunii building. 3rd. WCEE, Auckland, 1965.
61. Taniguchi T & Kobayashi H. Study on the distribiton of lateral force coefficient in a tall building III. Deformation of actual building during earthquakes. Research Report A1J, 145, 1955. (In Japanese.)
62. Udwadia F E & Trifunac N D. Ambient vibration tests on fullscale structures. Proc. 5th WCEE, Rome, 1973.
63. Goldberg J E., Bogdanoff J L & Moh Z L. Forced vibration and natural frequencies of tall building frames. Bulletin of the Seismological Soc. of America V49, No. 1, pp 33-47, 1959.
67. Kobayashi H & Sugiyama N. Viscous damping of structures related to foundation conditions. 6th. WCEE, New Delhi, 1977.
69. Ellis B R. A study of dynamic soil-structure interaction. Proc. Institute of Civil Engineers Part 2, V67,p77178.3,SePt 1979
70. Blume J & Binder J. Periods of a modern multi-storey office building during construction. 2WCEE V2, 1195-1205, 1960.
71. Briceno F., Espinosa A F & Arcia J. Dynamic response of a palace Corvin building in Caracas, Venuzuela, Proc. 5th. WCEE. Rome, 1973.
72. Jacobsen L S. Steady forced vibration as influenced by damping. Trans. ASME APM-52-15, 1930.
73. Kanai K & Yoshizawa S. On the damping of vibration of actual buildings. Bulletin of the Earthquake Research Institute of Japan, U30, 1952.
74. Hudson D E. A comparison of theoretical and experimental determination of building response to earthquakes. Proc. 2nd. WCEE, Tokyo, 1960.
75. Hart C C, Lew M & Dijulio Jnr. High-rise building response damping and period non-linearities. 5WCEE, Rome, 1973.
76. Shiga T., Skibata A & Shibuya T. Dynamic properties and earthquakes response of a nine storey reinforced concrete building. Proc. 5th. WCEE, Rome, 1973.
77. Jaudet A. Comportement dynamique de certaines structures industrielles en baton arms. Revue Francais de Nchanique, 60, 1976. 1 48
78. .Jeary A P. Damping measurements from the behaviour of several large multi-flue chimneys. Proc. Inst. of Civil Engineers, Paper 7967, June 1974.
79. Ruscheweyh H & Hirsch C. Full-scale measurements of the dynamic response of tower-shaped structures. 4th. international conference on wind effects on buildings and structures. Heathrow, 1975.
80. Ohta T., Adac.hi N., Vehiyama S., Niva M & Takahashi K. Results of vibration tests on tall buildings and their earthquake response. Proceeding 6th WCEE, New Delhi, 1977.
81. Kanai K & Yoshizawa S. On the damping of vibration of actual buildings. Bulletin of the Earthquake Research Institute of Japan. U30, 1952.
82. Stephen R H & Bouwkamp J G. Dynamic behaviour of an eleven storey masonry building. 6WCEE, New Delhi, 1977.
83. Wiss J F & Curth 0 E. Wind deflections of tall concrete frame buildings. Jnl. Structural Division. ASCE, U96, No. ST7, July 1970.
84. lemura H & Jennings P C. Hysteretic response, of a nine storey reinforced concrete building. Earthquake engineering and structural dynamics V3, p. 183-201, 1974.
85. Ibanez P. Identification of dynamic structural models from experimental data. UCLA ENG. 7325, March 1972.
86. del Vale E & Prince J. Analytical and experimental studies of vibration in two buildings. 3WCEE, Auckland, N.Z., 1965.
87. Foutch B A & Housner C W. Observed changes in the natural periods of vibration of a nine storey steel frame building. 6WCEE, New Delhi, 1977.
88. Foutch D A & Jennings P C. Dynamic tests of full-scale structures. Proc. 6th WCEE, New Delhi, January 1977. 149
Jeary A P. The dynamic behaviour of the Arts Tower, University of Sheffield, and its implications to wind loading and occupant reaction. Building Research Establishment Current Paper CP 48/78. June 1978.
98. Jeary A P., Lee B E & Sparks P R. The determination of modal wind loads from full-scale building response measurements. 5th. World Conference on wind effects on buildings and structures. Colorado State University, July 1979.
99. Jeary A P., & Sparks P R. Some observations on the dynamic sway characteristics of concrete structures. Symposium on vibrations in concrete structures, New Orleans, October 1977 and BRE CP7/78. 1 50
B.R. Ellis & J.D. Littler: Dynamic response of nine similar tower blocks. August 1988 · Journal of Wind Engineering and Industrial Aerodynamics 28(1-3):339-349. DOI:10.1016/0167-6105(88)90130-4
Includes induced vibration tests on Hume Point. Shows that the response of similar buildings can be very different, but the results from Ronan Point show that the joint fixity had a major effect on the building’s stiffness.
Perception of Vibration – Tests in a Tall Building. Jeary, Morris and Tomlinson. Seventh International Conference on Wind Engineering. Session 4. P253-262 and Journal of Wind Engineering and Industrial Aerodynamics, 29 (1988), 361-370
Steady-state versus run-down tests of structures. N N Nielsen. Jnl of the Structural Division. Proc ASCE. Vol 90 Dec 1964
A.P. Jeary and B.R. Ellis. Vibration Tests of Structures at varied a
Amplitudes. Specialty Conference on Dynamic Response of Structures. Atlanta, January 1981.
Details induced vibration tests on seven structures, with the BRE vibrator system.

Ambient and Forced Vibration Testing of a Reinforced Concrete Building before and after Its Seismic Retrofitting Authors: Serdar Soyoz serdar.soyoz@boun.edu.tr, Ertugrul Taciroglu, M.ASCE etacir@ucla.edu, Kutay Orakcal kutay.orakcal@boun.edu.tr, Robert Nigbor nigbor@ucla.edu, Derek Skolnik das@kmi.com, Hilmi Lus hilmilus@boun.edu.tr, and Erdal Safak
https://ascelibrary.org/doi/10.1061/(ASCE)ST.1943-541X.0000568
Soyoz, Serdar
September 30, 2013
… by means of forced or ambient vibration tests using modal identification techniques. … Test procedures are briefly recalled in the third section. … seismic joint, steady-state harmonic vibrations were separately induced in Building A and in … Induced noise has not appreciably affected the dynamic response below 3.5 Hz, but for higher frequencies, not negligible differences emerged …
Morassi, Antonino
November 30, 2011